قوانين أساسية في الكهرباء
تعريف الطاقة الكهربائيةالطاقة الكهربائية هي أحد أهم أنواع الطاقة الموجودة في الكون وتنتج من خلال العديد من الطرق، وتعتبر طريقة إنتاج الطاقة الكهربائية من خلال
تعريف الطاقة الكهربائية
الطاقة الكهربائية هي أحد أهم أنواع الطاقة الموجودة في الكون وتنتج من خلال العديد من الطرق، وتعتبر طريقة إنتاج الطاقة الكهربائية من خلال الألواح الشمسية ومصادر الطاقة المتجددة من الطرق الحديثة للحصول على الكهرباء، كما يعتمد الإنسان اعتماداً كليّاً على الطاقة الكهربائية للقيام بالأعمال والأنشطة اليومية، حيث تعد المصدر الرئيسي لتشغيل الأجهزة التي يستخدمها الإنسان؛ كالتلفاز، والإضاءة.
قوانين أساسية في الكهرباء
قوانين كيرشوف
- قانون كيرشوف الأول: هو القانون الذي يقوم على مبدأ حفظ الشحنة، وينص على أنّ المجموع الجبري للتيارات القادمة من نقطوة ما يساوي دد التيارات الخارجة منها، بحيث يمكن أن يكتب على هيئة معادلة؛ وهي: التيار الأول=التيار الثاني+ التيار الثالث+ التيار الرابع
- قانون كيرشوف الثاني: هو القانون القائم على مبدأ حفظ الطاقة، وينص على أنّ المجموع الجبري للجهود في أي مسار مغلق يساوي صفراً، ويجب الانتباه إلى اتّجاه التيار الكهربائي، فإذا كان سريان التيار والمقاومة باتجاه واحد يكون الجهد سالباً، والعكس صحيح، أما بالنسبة لقيمة القوة الدافعة الكهربائيّة فإنّ سريانها في الجزء السالب يبقى سالباً في المعادلة، والموجب يبقى موجباً.
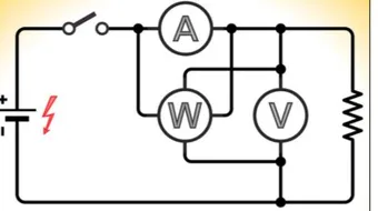
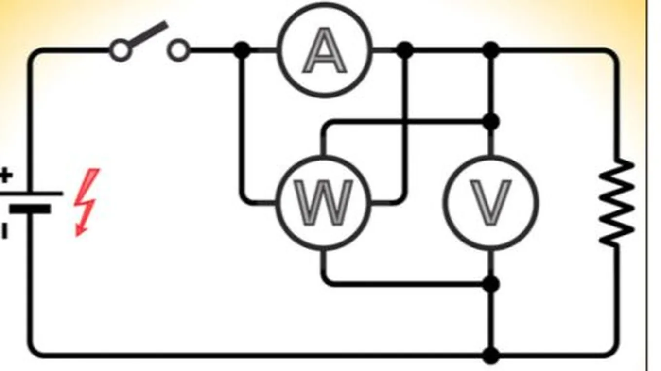
قانون أوم
تحتوي الدوائر الكهربائية البسيطة على مصدر للجهد، ومقاومة واحدة أو عدة مقاومات موصولة على التوالي أو التوازي يُمكن تبسيطها، بحيث تصبح مقاومة واحدة مكافئة لقيمة جميع المقاومات السابقة، وبالتالي تصبح الدائرة المحتوية على عدّة مقاومات دائرة واحدة بسيطة مكوّنة من مصدر جهد واحد ومقاومة واحدة، ويُمكن حل هذه الدوائر البسيطة من خلال القانون الذي وضعه العالم الألماني جورج أوم، وينص على أنّ فرق الجهد الكهربائي بين طرفي موصل يتناسب تناسباً طردياً مع شدّة التيار المار فيه، وبالتالي فإنّ: الجهد=المقاومة×شدة التيار أو: V=R×I، حيث إنّ:
- V: هو مقدار فرق الجهد الواقع على طرفي المقاومة، ووحدته الفولت.
- R: هو مقدارمقاومة الموصل المعدني الذي يمر من خلاله التيار الكهربائي، ووحدته أوم Ω.
- I: هو مقدار شدة التيار الكهربائي المار في المقاومة، ووحدته الأمبير.
ملاحظة: يُمكن استخدام قانون أوم لحل الدوائر الكهربائية المعقّدة أيضاً، وذلك من خلال إيجاد التيارات باستخدام قانون كيرشوف، وتبسيطها ثم تطبيق القانون.
تبسيط المقاومات
- تبسط المقاومات الموصولة على التوالي عن طريق جمع قيم هذه المقاومات.
- تبسط المقاومات الموصولة على التوازي من خلال جمع قيمة المقاومات كالآتي: 1/م1 + 1/م2 + 1/م3، وبعد تبسيط المقاومات الموصولة على التوازي تصبح جميع المقاومات موصولة في الدارة الكهربائية متتالية.
المقال السابق: أقوال مصطفى محمود عن الحياة
المقال التالي: استغلال الطاقة الشمسية وطاقة الرياح
قوانين أساسية في الكهرباء: رأيكم يهمنا
0.0 / 5
0 تقييم
