قانون معامل بيرسون
قانون معامل بيرسونيعتبر معامل بيرسون من أهم وأكثر المعاملات المُستخدمة في المواد العلمية، وبشكل خاص في العلوم الإنسانية والاجتماعية، وعند تطبيق قانونه يجب أن
قانون معامل بيرسون
يعتبر معامل بيرسون من أهم وأكثر المعاملات المُستخدمة في المواد العلمية، وبشكل خاص في العلوم الإنسانية والاجتماعية، وعند تطبيق قانونه يجب أن يكون كلا المتغيرين بيانات كمية، وبمعنى آخر يجب أن يكون كلا المتغيرين مقياساً نسبياً أو فترة.
كيفيّة حساب معامل بيرسون
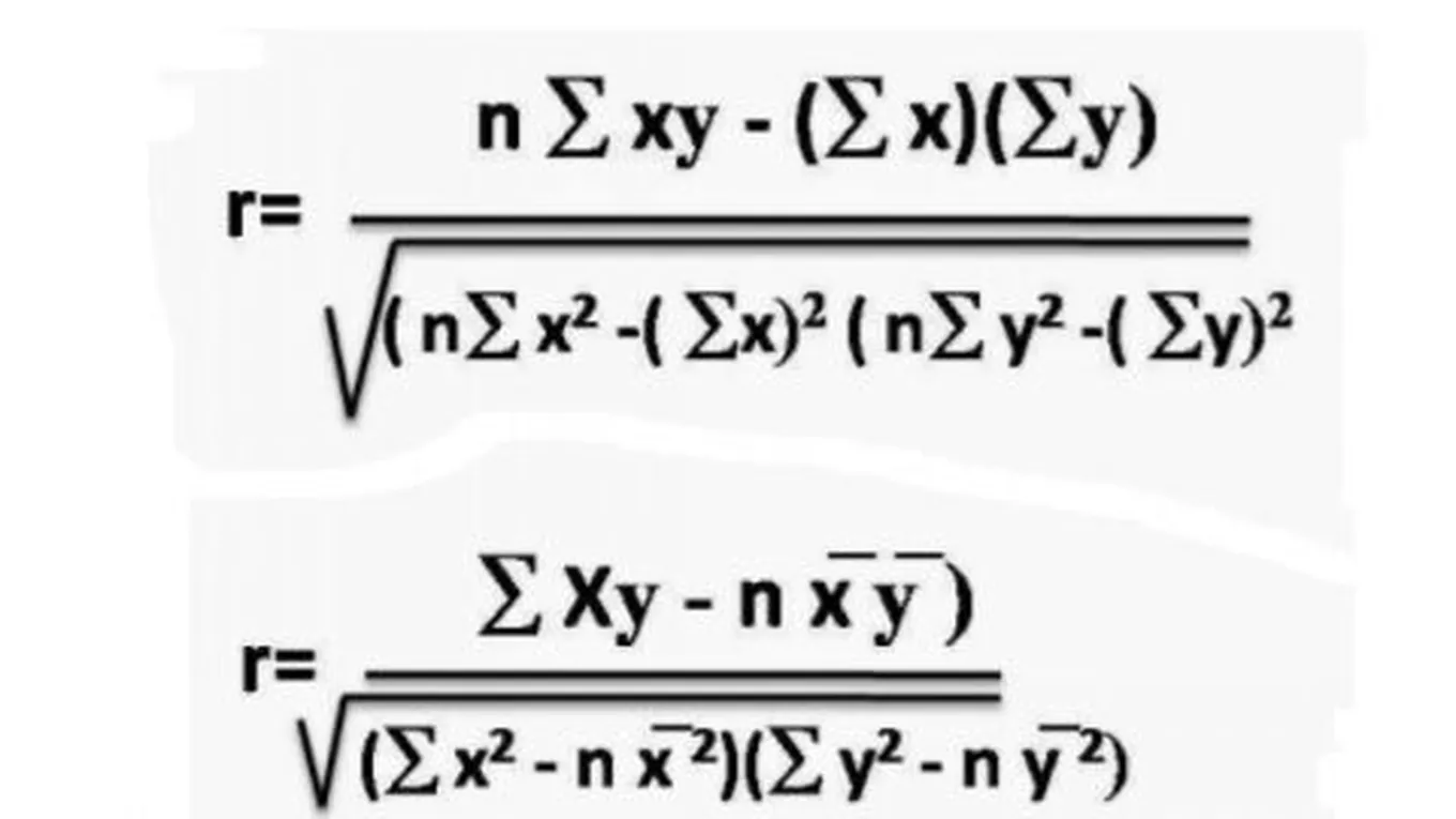
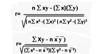
يُمكن حساب معامل بيرسون للارتباط الخطي بدلالة المتغيرين (س، ص) باستخدام الصيغتين الرياضيتين الآتيتين:
- معامل بيرسون= [ن مجموع (س ص)-(مجموع س) (مجموع ص)]'/'[ن(مجموع س2)-(مجموع س)2]0.5[ن(مجموع ص2)-(مجموع ص)2].
- معامل بيرسون= [مجموع( س ص)/ن-(معدل س (معدل ص)]'/'[(الانحراف المعياري للمتغير س) (الانحراف المعياري للمتغير ص)].
أمثلة على حساب معامل بيرسون
مثال1
إليك هذا الجدول الذي يبين حجم الإنتاج وحجم صادرات النفط خلال عدة سنوات:
حجم الصادرات (ص) حجم الإنتاج (س) 2 3 2 4 2 2 1 2 1 2 1 2
المسألة:
أوجد معامل بيرسون للارتباط الخطي بين حجم الإنتاج وحجم صادرات النفط
الحل :
س ص س ص س2 ص2 3 2 6 9 4 4 2 8 16 4 2 2 4 4 4 2 1 2 4 1 2 1 2 4 1 2 1 2 4 1 مجموع س=15 مجموع ص=9 مجموع س ص=24 مجموع س2=41 مجموع ص2= 15باستخدام قانون بيرسون للارتباط الخطي فإنّ:معامل بيرسون=[6(24)-(15) (9)]/[((6×41)-152) ((6×15)-92)]0.5= 0.65
باستخدام قانون بيرسون للارتباط الخطي فإنّ:معامل بيرسون=[6(24)-(15) (9)]/[((6×41)-152) ((6×15)-92)]0.5= 0.65
مثال2
يمثل الجدول الآتي علاقة صادرات المملكة العربية بالميزان التجاري خلال 7 سنوات، حيث إنّ س تُمثل الصادرات، وص تُمثل قيمة الميزان التجاري:
ص س 1 9 3 11 8 17 7 18 6 19 5 16 7 16 8 19 12 23 12 23
المسألة:
أوجد معامل بيرسون للارتباط الخطي بين صادرات المملكة العربية السعودية وقيمة الميزان التجاري
الحل :
س ص س ص س2 ص2 9 1 9 81 1 11 3 33 121 9 17 8 136 289 64 18 7 126 324 49 19 6 114 361 36 16 5 80 256 25 16 7 112 256 49 19 8 152 361 64 23 12 276 529 144 23 12 276 529 144 مجموع س=171 مجموع ص=69 مجموع س ص=1314 مجموع س2=3107 مجموع ص2=585بتطبيق قانون معامل بيرسون للارتباط الخطي نجد أنَّه يُساوي 0.95
بتطبيق قانون معامل بيرسون للارتباط الخطي نجد أنَّه يُساوي 0.95
المقال السابق: فوائد زيت الحرمل للبشرة
المقال التالي: فوائد عشبة الكثيرة لتطويل الشعر
قانون معامل بيرسون: رأيكم يهمنا
0.0 / 5
0 تقييم
